中考数学阅读型试题
近几年中考试题中,阅读理解型试题题型新颖,形式多样,知识覆盖面较大,它可以是总计课本原文,也可以是设计一个新的数学情境,让学生在阅读的基础上,理解其中的内容、方法、思想,然后把握本质,理解实质的基础上作出回答
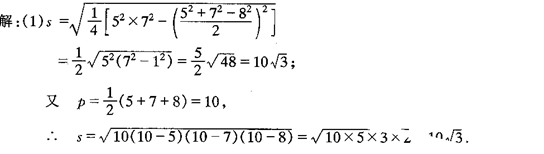
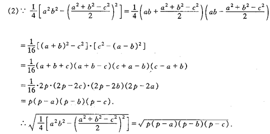
例1、我国古代数学家秦九韶在《算书九章》中记述了“三斜求积术”,即已知三角形的三边长,求它的面积。用现代式子表示即为:
……①(其中a、b、c为三角形的三边长,s为面积)。
而另一个文明古国古希腊也有求三角形面积的海伦公式:
……②(其中
)。
(1)若已知三角形的三边长分别为5、7、8,试分别运用公式①和公式②,计算该三角形的面积。
(2)你能否由公式①推导出公式②?请试试。
分析:
这是一道阅读理解题,它要求学生通过阅读理解“三斜求积术”的现在代公式,第(1)小题是检验学生的阅读能力及学以致用的能力,第(2)题是考查学生是创新能力。


练习
1.阅读下面操作过程,回答后面问题:在一次数学实践探究活动中,小强过A、C两点画直线AC把平行四边形ABCD分割成两个部分(
),小刚过AB、AC的中点画直线EF,把平行四边形ABCD也分割成两个部分(
);

(
)
(
)
(
)
(1)这两种分割方法中面积之间的关系为:
,
;
(2)根据这两位同学的分割方法,你认为把平行四边形分割成满足以上面积关系的直线有
条,请在图(
)的平行四边形中画出一种;
(3)由上述实验操作过程,你发现了什么规律?
(4)经过平行四边形对称中心的任意直线,都可以把平行四边形分成满足条件的图形;
2.阅读以下短文,然后解决下列问题:
如果一个三角形和一个矩形满足条件:三角形的一边与矩形的一边重合,且三角形的这边所对的顶点在矩形这边的对边上,则称这样的矩形为三角形的“友好矩形”. 如图8①所示,矩形ABEF即为△ABC的“友好矩形”. 显然,当△ABC是钝角三角形时,其“友好矩形”只有一个 .
(1) 仿照以上叙述,说明什么是一个三角形的“友好平行四边形”;
(2) 如图8②,若△ABC为直角三角形,且∠C=90°,在图8②中画出△ABC的所有“友好矩形”,并比较这些矩形面积的大小;
(3) 若△ABC是锐角三角形,且BC>AC>AB,在图8③中画出△ABC的所有“友好矩形”,指出其中周长最小的矩形并加以证明.
3.阅读下列材料,并解决后面的问题.
在锐角△ABC中,∠A、∠B、∠C的对边分别是a、b、c.过A作AD⊥BC于D(如图),则sinB=
,sinC=
,即AD=csinB,AD=bsinC,于是csinB=bsinC,即
.
同理有
,
.
所以
………(*)
即:在一个三角形中,各边和它所对角的正弦的比相等.
(1)在锐角三角形中,若已知三个元素a、b、∠A,运用上述结论(*)和有关定理就可以求出其余三个未知元素c、∠B、∠C,请你按照下列步骤填空,完成求解过程:
第一步:由条件a、b、∠A
∠B;
第二步:由条件 ∠A、∠B.
∠C;
第三步:由条件.
c.
(2)一货轮在C处测得灯塔A在货轮的北偏西30°的方向上,随后货轮以28.4海里/
时的速度按北偏东45°的方向航行,半小时后到达B处,此时又测得灯塔A在货轮的北偏西70°的方向上(如图),求此时货轮距灯塔A的距离AB(结果精确到0.1.参考数据:sin40°=0.6 4 3,sin65°=0.90 6,sin70°=0.940,sin7 5°=0.9 6 6).
4、“三等分角”是数学史上一个著名的问题,但仅用尺规不可能“三等分角”.下面是数学家帕普斯借助函数给出的一种“三等分锐角”的方法(如图):将给定的锐角∠AOB置于直角坐标系中,边OB在
轴上、边OA与函数
的图象交于点P,以P为圆心、以2OP为半径作弧交图象于点R.分别过点P和R作
轴和
轴的平行线,两直线相交于点M ,连接OM得到∠MOB,则∠MOB=
∠AOB.要明白帕普斯的方法,请研究以下问题:
(1)设
、
,求直线OM对应的函数表达式(用含
的代数式表示).
(2)分别过点P和R作
轴和
轴的平行线,两直线相交于点Q.请说明Q点在直线OM上,并据此证明∠MOB=
∠AOB.
(3)应用上述方法得到的结论,你如何三等分一个钝角(用文字简要说明).

5、已知:如图8,AB是⊙O的直径,P是AB上的一点(与A、B不重合),QP⊥AB,垂足为P,直线QA交⊙O于C点,过C点作⊙O的切线交直线QP于点D。则△CDQ是等腰三角形。
对上述命题证明如下:
证明:连结OC
∵OA=OC
∴∠A=∠1
∵CD切O于C点
∴∠OCD=90°
∴∠1+∠2=90°
∴∠A+∠2=90°
在RtQPA中,QPA=90°
∴∠A+∠Q=90°
∴∠2=∠Q
∴DQ=DC
即CDQ是等腰三角形。
问题:对上述命题,当点P在BA的延长线上时,其他条件不变,如图9所示,结论“△CDQ是等腰三角形”还成立吗?若成立,误给予证明;若不成立,请说明理由。
能力训练
1、阅读材料,大数学家高斯在上学读书时曾经研究过这样一个问题:
1+2+3+…+100=?经过研究,这个问题的一般性结论是1+2+3+…+
,其中n是正整数。现在我们来研究一个类似的问题:1×2+2×3+…
=?
观察下面三个特殊的等式:
;
;
.
将这三个等式的两边相加,可以得到1×2+2×3+3×4=
.
读完这段材料,请你思考后回答:
⑴
.
⑵
.
⑶
.
(只需写出结果,不必写中间的过程)
2、阅读:我们知道,在数轴上,x=1表示一个点,而在平面直角坐标系中,x=1表示一条直线;我们还知道,以二元一次方程2x-y+1=0的所有解为坐标的点组成的图形就是一次函数y=2x+1的图象,它也是一条直线,如图①.
观察图①可以得出:直线=1与直线y=2x+1的交点P的坐标(1,3)就是方程组
的解,所以这个方程组的解为![]()
在直角坐标系中,x≤1表示一个平面区域,即直线x=1以及它左侧的部分,如图②;y≤2x+1也表示一个平面区域,即直线y=2x+1以及它下方的部分,如图③。
![]() | ![]() | ||
回答下列问题:
(1)在直角坐标系(图④)中,用作图象的方法求出方程组
的解;
(2)用阴影表示
,所围成的区域。
答案:
练习
1.(1)
,
;
(2)无数,图略;


2.(1) 如果一个三角形和一个平行四边形满足条件:三角形的一边与平行四边形的一边重合,三角形这边所对的顶点在平行四边形这边的对边上,则称这样的平行四边形为三角形的“友好平行四边形”.
(2) 此时共有2个友好矩形,如图的BCAD、ABEF.
易知,矩形BCAD、ABEF的面积都等于△ABC面积的2倍,
∴ △ABC的“友好矩形”的面积相等.
(3) 此时共有3个友好矩形,
如图的BCDE、CAFG及ABHK,其中的矩形ABHK的周长最小 .
证明如下:
易知,这三个矩形的面积相等,令其为S. 设矩形BCDE、CAFG及ABHK的周长分别为L1,L2,L3,△ABC的边长BC=a,CA=b,AB=c,则
L1=
+2a,L2=
+2b,L3=
+2c .
∴
L1- L2=(
+2a)-(
+2b)=2(a-b)
,
而 ab>S,a>b,
∴ L1- L2>0,即L1> L2 .
同理可得,L2> L3 .
∴ L3最小,即矩形ABHK的周长最小.
3.解:(1)
, ∠A+∠B+∠C=180°,a、∠A、∠C或b、∠B、∠C,
或![]()
(2)依题意,可求得∠ABC=65°,
∠A=40°,BC=14.2,AB≈21.3.
答:货轮距灯塔A的距离约为21.3海里.(9分)
4、解:(1)设直线OM的函数关系式为
.
则
∴
.
∴直线OM的函数关系式为
.
(2)∵
的坐标
满足
,∴点
在直线OM上.
∵四边形PQRM是矩形,∴SP=SQ=SR=SM=
PR.
∴∠SQR=∠SRQ.
∵PR=2OP,∴PS=OP=
PR.∴∠POS=∠PSO.
∵∠PSQ是△SQR的一个外角,
∴∠PSQ=2∠SQR.∴∠POS=2∠SQR.
∵QR∥OB,∴∠SOB=∠SQR.
∴∠POS=2∠SOB.
∴∠SOB=
∠AOB.
(3)以下方法只要回答一种即可.
方法一:利用钝角的一半是锐角,然后利用上述结论把锐角三等分的方法即可.
方法二:也可把钝角减去一个直角得一个锐角,然后利用上述结论把锐角三等分后,再将直角利用等边三角形(或其它方法)将其三等分即可.
方法三:先将此钝角的补角(锐角)三等分,再作它的余角.
5、答:结论“△CDQ是等腰三角形”还成立
证明:略
能力训练:
1、⑴343400(或![]()
⑵![]()
⑶![]()
2. 解:(1)如图所示,
在坐标系中分别作出直线x=-2和直线y=-2x+2,
这两条直线的交点是P(-2,6)。
则
是方程组
的解。
(1) 如阴影所示。

