高三化学第一学期期末教学目标检测
化 学 试 题
考生事项:
1.本试卷分为第I卷(选择题)和第II卷(非选择题)两部分,将第I卷选择题的答案
写在“答题卡”上。第II卷直接答在试卷上。
2.试卷满分108分,考试时间120分钟。
3.答卷前将密封线内的项目填写清楚。
可能用到的相对原子质量:H 1 C 12 N 14 O 16 Na 23 Mg 24 S 32 Ba 137
第Ⅰ卷(选择题,共48分)
一、本题包括16小题,每小题3分,共48分,每小题只有一个选项符合题意。
1.下列物质均具有漂白性,其中有一种物质的漂白原理与其它不同的是 ( )
A.次氯酸 B.过氧化氢 C.三氧化硫 D.臭氧
|
A.N4是一种新型的化合物
B.N4与N2互为同素异形体
C.N4稳定性比白磷差
D.N4属于原子晶体
3.下列各组物质发生化学反应时,由于反应物的量不同生成不同产物的是 ( )
①CO2与NaOH溶液 ②P与Cl2
③AgNO3溶液与氨水 ④C与O2
⑤AlCl3溶液与氨水 ⑥C2H2与Cl2
⑦NaHCO3溶液与盐酸
A.除⑦外 B.除②⑥外 C.除③⑦外 D.除⑤⑦外
4.下列实验事故处理方法不得当的是 ( )
A.苯酚不慎沾到手上,应立即用酒精清洗
B.酒精洒在桌面上引起失火,可以用水来浇灭
C.皮肤感染后,可以用稀双氧水进行清洗
D.浓盐酸沾到手上,立刻用大量水进行清洗
5.下列各组物质的熔点变化规律,与它们的化学键无关的是 ( )
A.F2、Cl2、Br2、I2的熔点依次升高
B.H、Na、K、Rb的熔点依次降低
C.NaF、NaCl、NaBr、NaI的熔点依次降低
D.晶体硅、碳化硅、金刚石的熔点依次升高
6.下列物质加入稀盐酸,都能生成使澄清石灰水变浑浊的气体的是 ( )
①大理石 ②漂白精 ③鸡蛋壳 ④硫代硫酸钠 ⑤二氧化硅
A.①②③ B.①③④ C.①③⑤ D.②④⑤
7.下列实验操作正确的是 ( )
A.蒸馏时,将温度计的水银球插入液面下
B.称量时,将硫酸铜晶体直接放在天平右盘上称量
C.加热时,将烧杯、试管直接放在酒精灯上加热
D.闻气时,将少量的气体用手轻轻扇入算孔中
8.已知X、Y、Z、W四种短周期主族元素在周期表中的相对位置如图所示,下列说法正确的是 ( )
|
B.Z元素的最高化合价可能比Y元素的高
C.W的气态氢化物的稳定性一定比Y的强
D.Z的最高价氧化物的水化物的酸性一定比W的强
9.将2molX和2mol Y充入2L密闭容器中发生如下反应:
X(g)+3Y(g) 2Z(g)+aQ(g)
达到平衡时生成0.8mol Z,测得Q的浓度为0.4mol/L,下列叙述错误的是 ( )
A.a的值为2 B.平衡时X的浓度为0.2mol/L
C.平衡时Y的转化率为60% D.平衡时Z的体积百分含量20%
|
①过氧化钠、硫 ②乙醛、苯、四氯化碳 ③无水硫酸铜、碳酸钡、氯化钠
A.蒸馏水 B.AgNO3溶液 C.汽油 D.乙醇
11.糖类、油脂和蛋白质都是人类必需的基本营养物质,下列关于它们的说法中不正确的是
( )
A.淀粉、油脂和蛋白质都能发生水解反应
B.糖类、油脂和蛋白质都属于高分子化合物
C.人们可以利用电泳来分离某些氨基酸和蛋白质
D.可以利用丁达尔效应来鉴别葡萄糖和淀粉溶液
|
下列叙述不正确的是 ( )
A.放电时锌做负极
B.充电时氢氧化铁被氧化
C.充电时溶液的碱性减弱
D.放电时每转移3mol电子,有2mol
FeO
被还原
13.阿伏加德罗常数约为6.02×1023mol-1,下列说法中正确的是 ( )
A.2.4g镁作还原剂时失去电子数是0.1×6.02×1023
B.标准状况下,22.4L甲烷中含有的共价键数是6.02×1023
C.标准状况下,5.6L的甲醛所含的电子数4×6.02×1023
D.100 mL 1mol/L氨水溶液中,铵根离子的个数是0.1×6.02×1023
14.分子组成为C9H12苯的同系物,已知苯环上只有一个取代基,下列说法中正确的是( )
A.该有机物不能发生加成反应,但能发生取代反应
B.该有机物不能使酸性的高锰酸钾溶液褪色,但能使溴水褪色
C.该有机物分子中的所有原子可能在同一平面上
D.该有机物有一溴代物最多有6种同分异构体
15.25℃时,20.00mL硫酸和硝酸的混合溶液,加入足量氯化钡溶液,充分反应后过滤、洗涤、烘干,可得0.466g 沉淀。滤液跟2.00mol/L氢氧化钠溶液反应,共用去10.00mL碱液时恰好中和。下列说法中正确的是 ( )
A.原混合液中c(SO
)=0.20mol/L
B.原混合液中c(NO
)=0.90mol/L
C.原混合液中pH=0
D.原混合液中由水电离出的c(H+)=0.10mol/L
|
A.B点的横坐标a=12.5
B.C点时溶液中有:
c(Na+)>c(CH3COO-)>c(H+)>c(OH-)
C.D点时溶液中有:
c(CH3COO-)+c(CH3COOH)=2c(Na+)
D.曲线上A、B间的任意一点,溶液中都有:
c(Na+)> c(CH3COO-)> c(OH-)>c(H+)
|
注意事项:
1.用钢笔或圆珠笔将答案直接写在试卷上。
2.答卷前将密封线内的项目填写清楚。
二、本题包括3小题,共22分。
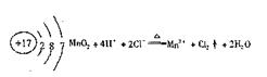
17.(9分)A、B、C、D为四种短周期主族元素,其中A、C同族,B、C同周期,D与A、B不在同周期;A原子最外层电子数是核外电子层数的3倍;B的最高正价与最低负价代数和为6。
(1)B的原子结构示意图是 ;实验室制备B单质的离子反应方程式是
。
(2)D2A2结构如图所示(两个平面的夹角是93°51′,D—A—A夹角96°52′),D2A2
分子属于 (填“极性”或“非极性”)分子。
(3)D2A2溶液与D2C反应生成一种淡黄色的沉淀,该反应的化学方程式是
。
(4)经测定,D2A2为二元弱酸,其酸性比碳酸的还要弱,请写出其第一步电离的电离方程式 。过去常用硫酸处理BaO2来制备D2A2,写出该反应的化学方程式 ;现在实验室可以将过氧化钠加入到水中来制取D2A2,写出该反应的化学方程式 ;简述这两种制备原理的不同之处 。
|
(1)5min内,用B物质表示甲容器中的平均反应率度v(B)= 。
(2)若使甲容器化学平衡向正反应方向移动,则可以改变的条件是(填写字母) ;
改变条件的瞬间,体系的正反应速率将 。(填“增大”、“减小”、“不变”)
A.减小A的物质的量 B.降低体系的温度
C.增大D的浓度 D.加入催化剂
(3)保持温度不变,移动活塞P,使乙的容积和甲相等,达到新的平衡后,乙容器中C的物质的量浓度c(C) (填“>”“<”“=”)3mol/L。
(4)保持温度不变,t2时分别向甲、乙中加入等质量的氦气后,下图中能表示甲中反应速率变化情况的是 ,能表示乙中反应速率变化情况的是 。
请回答下列问题:
(1)A的电子式是 。
(2)完成下列反应的方程式,是离子反应的只写离子方程式:
A→E: 。
G→E: 。
(3)E和D恰好完全反应时,得到的F常温下是混合物,原因是(结合化学方程式回答)
。
(4)发送我国第一颗探月卫星嫦娥一号的火箭是我国自己制造的长征三号甲火箭,火箭使用的推进剂由氧化剂和还原剂组成。F中的无色物质经液化后,作为长征三号甲火箭一二级推进剂中的氧化剂。还原剂是相对分子质量为60,碳、氢、氮三种元素的质量比为6:2:7的液态有机物,该还原剂的化学式是 ;若5g还原剂和氧化剂完全燃烧时生成气体B、C,以及一种参与大气循环的气体,并放出212.5kJ的热量,写出该反应的热化学方程式 。
三、本题包括2小题,共14分。
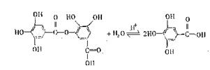
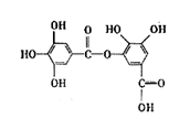
20.(4分)某种有机物结构简式如图所示,其分子式是 ;1mol该有机物与NaOH溶液在水浴加热条件下反应,最多消耗NaOH的物质的量是 ;写出该有机物在酸性条件下水解化学方程式: 。
21.(10分)苯酚是一种重要的化工原料,以下是利用苯酚为原料,生产阿司匹林、香料和高分子化合物的合成线路图。
|
已知:(1)
(2)
|
(3)R—OH+HBr R—Br+H2O
|
(1)反应②属于 反应。
(2)写出下列有机物的结构简式:D ,G 。
(3)完成下列反应的化学方程式:① ;
② 。
(4)可以检验阿司匹林样品中含有水杨酸的试剂是 (填写字母)。
A.碳酸氢钠溶液 B.氯化铁溶液
C.红色石蕊试纸 D.新制氢氧化铜
(5)与阿司匹林互为同分异构体的物质有多种,请按以下要求写出阿司匹林的一种同分异构体:①苯环上有两个对位的取代基;②能发生银镜反应;③属于羧酸和酯类的有机有 。
四、本题包括2小题,共17分。
22.(6分)如图装置可以用来制取某些气体。
(1)该装置可以制备乙炔气体,圆底烧瓶中盛放的物质是 。
(2)还能用该装置制备和收集的气体有(答出任意一种即可) 。
(3)若用来制备乙烯气体,需要对装置进行改进,将分液漏斗改成温度计,温度计的水银球放置的位置是 ,改进时还需要的玻璃仪器是 ;反应的化学方程式是 。
|
Na2SO3+H2SO4=Na2SO4+H2O+SO2↑
(1)实验室检验二氧化硫所用的试剂是 。
(2)E是贮存有某种气体的针管,该气体能使湿润的红色石蕊试纸变蓝,写出实验室制备这种气体的化学方程式 。
(3)装置D的作用是 ,反应的离子方程式是 。
(4)A中的反应结束后,关闭活塞K1,打开活塞K2,将贮存在E中的气体注入B中,观察到B中的现象是 ,反应的离子方程式是 。
(5)反应结束后,取少量的C中溶液,加入氯化钡溶液,观察到有白色沉淀生成,请你写出氯水与二氧化硫反应的化学方程式 。
五、本题包括1小题,共7分。
24.(7分)如图,A为直流电源,B为电解槽,c、d为石墨电极,B中存放有100mL NaCl和CuCl2的混合溶液,其中Cu2+的物质的量浓度为0.1mol/L,闭合K,d极收集到标准状况下448mL一种气体甲,该气体能使湿润的碘化钾淀粉试纸变蓝。气体体积均在标准状况下测定,假设溶液的体积变化忽略不计,不考虑电解产生的气体溶解和吸收。请回答下列问题。
(1)A电源的a极是 ,d极发生反应的
电极反应式是 。
(2)c极理论上收集到的气体的体积是 (标准状况下)。
(3)假设100mL溶液中,c(Cu2+)=a mol/L,c(Na+)=b mol/L,Cu2+完全放电后,理论上d极产生甲气体的体积V范围是 (用带a、b的代数式表示)。
参考答案
一、选择题(48分,每小题3分)
|
|
二、(共22分)
17.(9分)(1)(2分)
(2)(1分)极性 (3)(1分)H2O2+H2S=S↓+2H2O
(4)(5分)H2O2 H++HO
,BaO2+H2SO4=BaSO4+H2O2,Na2O2+2H2O=2NaOH+H2O2,前者是酸跟盐反应生成新酸和新盐,利用了强酸制弱酸,后者利用了Na2O2的水解反应。
18.(6分,每空1分)(1)0.6mol/(L·min)
(2)B;减小 (3)> (4)A,C
19.(7分,热化学方程式2分,其余每空1分)
|
|
|
(2)4NH3+5O2 4NO+6H2O,3Cu+8H++2NO
=3Cu2++2NO↑+4H2O
(3)2NO2 N2O4,二氧化氮与四氧化二氮之间存在化学平衡,二氧化氮和四氧化二氮共存。
|
三、(共4分)
20.(4分)C14H19O9;8mol;
|
21.(1)(1分)取代
(2)(2分)
(3)(4分)
(4)(1分)B
(5)(2分)
|
(合理答案均给分)
四、(17分)
22.(6分,每空1分,方程式2分)(1)电石(碳化钙、CaC2)
|
(3)插入液面下,酒精灯;CH3CH2OH CH2=CH2↑+H2O
|
(2)(2分)2NH4Cl+Ca(OH)2 CaCl2+4NH3↑+2H2O
(3)(3分)吸收多余的二氧化硫,防止污染环境,2OH-+SO2=SO
+H2O
(4)(3分)白色沉淀,Ba2++2NH3+H2O+SO2=BaSO4↓+2NH![]()
(5)(2分)Cl2+2H2O+SO2=H2SO4+2HCl
五、(共7分)
24.(1)(1)(2分)负极,2Cl--2e-=Cl2↑
(2)(2分)224mL
(3)(3分)2.24aL≤V≤(2.24a+1.12b)L









