高三理综测试试题-1
第Ⅰ卷 (选择题,共126分)
一、选择题(本题包括13小题。每小题只有一个选项符合题意)
1、下列有关“一定”的说法正确的是 ①光合作用一定要在叶绿体中进行
②有氧呼吸一定在线粒体中进行 ③没有细胞结构的生物一定是原核生物
④酶催化作用的最适温度一定是37℃ ⑤生长素对植物生长一定起促进作用
⑥两个种群间的隔离一旦形成,这两个不同种群的个体之间一定不能进行交配
A、全部正确 B、有一个正确 C、有三个正确 D、全都不对
2.下图表示人体和人体细胞内某些信息传递机制的示意图,图中的箭头表示信息传递的方向。下列有关叙述中,正确的是:

A.如果该图表示一个完整的反射弧,则a表示感受器,b表示神经中枢,c表示效应器,且其中的信息以局部电流的形式由a传到c
B.如果该图表示细胞中的遗传信息的表达过程,则d过程只发生在细胞核内
C.如果该图中a为下丘脑,b为垂体,c为甲状腺,则c分泌的激素过多对于a分泌d,b分泌e均具有抑制作用
D.如果该图中a表示抗原,b表示吞噬细胞和T细胞,c为B细胞,则该过程表示体液免疫的反应阶段
3.下列对有关图形所表达的生物学含义的叙述正确的是
![]()
![]()

A.丁图中种群增长率受种群密度等因子的制约
B.乙图中,土壤中的某矿质元素浓度分别为a、b、c时,在b浓度时施用含该元素的肥料最有利于植物生长
C.丙图中,某激素是指胰高血糖素
D.甲图表示杂合子Aa连续自交若干代,后代中显性纯合子所占比例
4.下图是测定植物某一生命活动过程的装置,从左侧泵入空气后,会产生某些实验现象,
下列几种说法中错误的是
A.该实验的目的是测定植物呼吸作用能产生CO2
B.本实验装置中B瓶的作用是减少实验误差
C.如果将C瓶中的植物换成萌发的种子,则出现相同的实验现象
D.把不透光的玻璃罩换作透光的玻璃罩仍能得到同样的实验结果
5.常利用会产生荧光的颜料对DNA进行定量分析,下图为某种真核生物产生生殖细胞时细胞分裂过程不同时期细胞内荧光物质的含量变化。(以I,II,Ⅲ,IV,V标示不同时期)请将下列细胞分裂过程1-5不同时期的名称,与下图的罗马数字编号进行正确的配对

①减数第一次分裂的后期 ②减数第二次分裂的后期 ③减数第二次分裂末期(细胞质已分裂) ④减数第二次分裂的前期 ⑤减数第一次分裂的前期
A、①-Ⅱ ②-Ⅳ ③-Ⅴ ④-Ⅲ ⑤-Ⅰ
B、①-Ⅰ ②-Ⅱ ③-Ⅲ ④-Ⅳ ⑤-Ⅴ
C、①-Ⅴ ②-Ⅳ ③- Ⅲ ④-Ⅱ ⑤-Ⅰ
D、①-Ⅰ ②-Ⅱ ③-Ⅳ ④-Ⅲ ⑤-Ⅴ
6.每个公民都应该有安全意识,今年频繁发生的有关化学药品泄漏或爆炸事件一次又一次给我们敲响警种。下列做法存在安全隐患的是
①将水沿着烧杯内壁缓缓加入浓硫酸中,并用玻璃棒不断搅拌。
②给试管中液体加热时,应将试管倾斜,与桌面成45°角,再集中于药品处加热。
③取用金属Na或K时,用剩的药品放回原瓶。
④夜间厨房发生煤气泄漏时,立即开灯检查煤气泄漏原因,并打开所有门窗通风。
⑤在做苯酚性质实验时,因为常温下苯酚在水中溶解度较小,所以将废液直接倒入水池排入下水道。
⑥废旧电池回收处理。
A.全部 B.①②④⑤ C.①③⑤ D.①④
7.常温下,有物质的量浓度、体积都相同的NaA(PH=8)和NaB(pH=12)溶液,下列说法不正确的是
A.NaB溶液比NaA溶液更能促进水的电离
B.将两溶液混合,混合溶液中:c(OH-)>5×10-3mol/L
C.NaA溶液中:c (Na+)-c (A-)=10-6mol/L
D.NaB溶液中:c (H+)+c(HB)=10-2mol/L
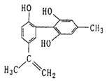
8.我国支持“人文奥运”的一个重要体现是:坚决反对运动员服用兴奋剂。兴奋剂的结构简式如图所示,有关该物质的说法正确的是
A.遇FeCl3溶液显紫色,因为该物质与苯酚属于同系物
B.滴入KMnO4(H+)溶液,观察紫色褪去,能证明结
构中存在碳碳双键
C.1mol该物质分别与浓溴水和H2反应时最多消耗
Br2和H2分别为4mol、7mol
D.该物质能发生银镜反应
9.在密闭容器中进行反应2SO2(g)+O2 (g)
2SO3(g);△H<O;下图是某次实验的化学反应速率随时间变化的图形,推断在t1时刻突然变化的条件可能是
A.减小容器的体积,增大压强
B.使用催化剂
C.升高体系的温度
D.增大生成物浓度,减小反应物浓度8.C 9.A
10.下列反应的离子方程式正确的是
A.足量的氯气通入溴化亚铁溶液 2Cl2+2Fe2++2Br-=== 4Cl-+2Fe3++Br2
B.少量的二氧化硫通入次氯酸钠溶液 SO2+H2O+2ClO- === SO2-3+2HClO
C.向硝酸银溶液中逐滴滴入稀氨水直至过量 Ag+ + 2NH3·H2O= [Ag(NH3)2]++2H2O
D.Fe(NO3)3溶液中加入过量的HI溶液:Fe3++NO-3+4I-+4H+ = Fe2++2I2+NO↑+2H2O
|
A.洗气瓶中产生的沉淀是碳酸钡
B.Z导管出来的气体有二氧化碳
C.洗气瓶中产生的沉淀是硫酸钡
D.Z导管口有红棕色气体出现
12.我国首创的海洋电池是以铝板为负极,铂网为正极,海水为
电解质溶液,空气中的氧气与铝反应产生电流。电池总反应为:
4Al+3O2+6H2O
4A1(OH)3,下列说法不正确的是
A.正极反应为:O2+2H2O+4e-
4OH-
B.电池工作时,电流由铝电极沿导线流向铂电极
C.以网状的铂为正极,可增大与氧气的接触面积
D.该电池通常只需要更换铝板就可继续使用
13.下列情况下,离子组间一定能在溶液中同时大量共存的是
A.水电离出的c(H+)=10-14mol/L的溶液中:Na+、HCO3-、Cl-、SO42-
B.PH试纸呈现红色的溶液:Fe2+、K+、NO3-、Na+
C.CO32-可以大量存在的溶液:Ag+、K+、NO3-、Al3+
D.PH=2的溶液中:SO42-、K+、NO3-、Al3+
二、选择题(本题包括8小题.每小题给出的四个选项中,有的只有一个选项正确,有的有多个选项正确.全部选对的得6分,选对但不全的得3分,有选错的得0分)
14.在如图所示的电路中,电源的电动势为E,内电阻为r.L1、L2是两个小灯泡.闭合S后,两灯均能发光.当滑动变阻器的滑片向右滑动时,会出现
A.L1变暗 L2变暗
B.L1变亮 L2变暗
C.L1变亮 L2变亮
D.L1变暗 L2变亮
15.某同学采用如图所示的装置来研究光电效应现象.当用某单色光照射光电管的阴极K
时,会发生光电效应现象.闭合开关S,在阳极A和阴极K之间加上反向电压,通过调节滑动变阻器的滑片逐渐增大电压,直至电流计中电流恰好为零,此时电压表电压值U称为反向截止电压.现分别用频率为v1和v2的单色光照射阴极,测量到反向截止电压分别为U1和U2,设电子质量为m,电荷量为e,普朗克常数为h,则下列关系式中不正确的是
A.频率为v1的光照射时,光电子的最大初速度vm=![]()
B.阴极K金属的逸出功W=h v2-e U2
C.阴极K金属的极限频率v0=![]()
D.普朗克常数h=![]()
16.如图所示,高压输电线的输送电压为220kV,输送功率为1.1×105kW,甲、乙是两只互感器,若已知它们的原、副线圈匝数之比分别为n1︰n2=1000︰1,n3︰n4=1︰100,则下列说法中正确的是
A.交流电压表的示数为220 V
B.交流电压表的示数为2200 V
C.交流电流表的示数为5 A
D.交流电流表的示数为0.5 A
17.放在电梯地板上的货箱,在随电梯加速上升的过
程中,电梯对货箱做的功等于
A.货箱增加的势能 B.货箱增加的动能
C.货箱增加的机械能 D.货箱克服重力所做的功
18.如图是一列简谐横波t=0时刻的一部分波动图象,波沿x轴正方向传播,波速v=20 m/s.则t=1.25 s时刻,图中横坐标为40 m的P质点所在处的位置坐标为
A.(65,0)
B.(65,10)
C.(40,10)
D.(40,-10)
19.利用传感器和计算机可以测量快速变化的力的瞬时值。某次实验中,把小球举到橡皮绳的悬点O处,然后放手让小球自由下落,右图所示是用这种方法得到的橡皮绳中拉力F随时间t变化的图象。由此图象提供的信息,可以判断下列说法中正确的是
A.t 1时刻小球的速度最大
B.t2时刻小球的动能最大
C.t2一t2这段时间内,小球的速度先增大后减小
D.整个过程中,橡皮绳和小球组成的系统机械能守恒
20.如图所示是伽利略设计的世界上第一个温度计示意图,上部是一个球形容器,里面有一定质量的空气(可视为理想气体),下部是一根细管,细管插入带色液体中,制作时先给球形容器微微加热,跑出一些空气,插入液体中时,带色液体能上升到管内某一高度, 测 量时球形容器与所测物质接触.已知外界大气压保持不变.所测温度为t1时,容器内液面在a位置,容器内气体分子平均动能为Ek1,气体压强为P1,容器内气体内能为E1;所测温度为t2时,容器内液面在b位置,其他三个量分别为Ek2、P2、E2.由此可知
A.t1<t2 B.P1>P2 C.Ek1>Ek2 D.E1<E2
21.如图,在磁铁与铁芯之间的磁场是均匀辐向分布的.设闭合矩型线圈的匝数为N,面积为S,电阻为R.ab、cd边所在处的磁感应强度大小均为B.线圈在外力作用下以恒定角速度ω旋转.转动中ab、cd边始终垂直切割磁感线.(两磁极间的缝隙忽略不计)则
A.线圈回路中会产生正弦交流电,感应电动势有效值为![]()
B.线圈回路中会产生非正弦交流电,感应电动势有效值为NBSω
C.线圈回路中会产生恒定电流,感应电动势恒为NBSω
D.线圈从图示位置开始转过1/4周过程中,通过回路总电荷量为![]()
第Ⅱ卷 (非选择题 共174分)
22.(17分)
(1)用图示装置验证动量守恒定律时,有下面几种做法:
A.入射球m1每次都必须从同一位置由静止开始释放
B.被碰球的质量m2必须比入射球的质量m1大
C.实验前必须调节斜槽,使斜槽末端切线水平
D.实验时,必须用秒表测出小球每次离开斜槽末端到落到水平面的时间
其中正确且必要的是_________________.
(2)用已调到直流电压量程10 V档的多用电表V1,来尽可能精确地测出量程为3 V的电压表V2的内阻RV2.现提供以下器材:
多用电表,已调至直流电压量程10 V档(符号V1,内阻RV1=50 kΩ)
待测直流电压表(符号V2,量程3 V,内阻约15 kΩ)
滑动变阻器R(0~100Ω);
直流电源E(约15 V,内阻不计);
开关S和导线若干.
①虚线方框中已画出部分实验元件符号,请将其余部分补充完整,成为本实验的电路图,并在图中标出各器材的英文字母代号.
②简要写出电源开关闭合后的实验步骤、要直接测量的物理量以及它们的英文字母代号:_________________________ _____________________________________
③用已知量和直接测得量表示待测电压表内阻的表达式RV2=________________。

23、(16分)我国将上演现代版“嫦娥奔月”,届时“嫦娥号”飞船将进入绕月飞行的圆形轨道a,当飞船运行至A点时启动登月舱进入椭圆轨道b,到B点实现着陆。(椭圆轨道的一个焦点在月球中心,A、B分别为与轨道a和月球表面相切点),已知月球质量为M,半径为R,轨道a半径为r,万有引力常量为G。 试求:
①飞船绕月飞行的周期T
②登月舱由轨迹a,进入轨迹b时在A点应启动发动机,向前喷气还是向后喷气?
③由A至B的时间t
23、(16分)解: ①由万有引力提供向心力
……(3分)
……(3分)
②向前喷气 ……(3分)
③椭圆轨道半长轴:
,
……(2分)
由开普勒第三定律:
……(2分)
登月舱由
的时间:
……(3分)
24.(14分)如图所示,处于匀强磁场中的两根足够长、电阻不计的平行金属导轨相距L = 1m,导轨平面与水平面成θ= 37º角,下端连接阻值为R的电阻。匀强磁场方向与导轨平面垂直。质量为m = 0.2kg,电阻不计的金属棒放在两导轨上,棒与导轨垂直并保持良好接触,它们之间的动摩擦因数为
= 0.25。(设最大静摩擦力大小等于滑动摩擦力大小)求:
⑴ 金属棒沿导轨由静止开始下滑时加速度a的大小;
⑵ 当金属棒下滑速度达到稳定时,电阻R消耗的功率为8W,求此时金属棒速度v的大小;
⑶ 在上问中,若R=2Ω,金属棒中的电流方向由a到b,求磁感应强度B的大小和方向。(g = 10m/s2,sin37º= 0.6,cos37º= 0.8)
24. (14分)
分析和解:(1) 根据牛顿第二定律 mgsinθ-f = ma …………………… ① (1分)
f = μN …………………… ② (1分)
N = mgcosθ ………………………… ③ (1分)
联立①②③得a = g (sinθ-μcosθ) ………………………④ (1分)
代入已知条件得a = 10×(0.6-0.25×0.8)
a = 4m/s2 …………………………………………(1分)
设金属棒运动达到稳定时,速度为v,所受安培力为F,棒在沿导轨方向受力平衡
mg(sinθ-μcosθ)-F=0 ………………………………………⑤ (1分)
此时金属棒克服安培力做功的功率P等于电路中电阻R消耗的电功率
P = Fv ……………………………………………………⑥ (1分)
由⑤⑥两式解得
…………………………⑦ (1分)
将已知数据代入上式得![]()
v =10m/s ………………………………………………… ( 1分 )
(用其它方法算出正确答案同样给分)
(3)设电路中电流为I,两导轨间金属棒的长为L,磁场的磁感应强度为B
E=BLv …………………………………………… ⑧ ( 1分)
……………………………………………⑨ ( 1分)
P=I2R ……………………………………………⑩ (1分 )
由⑧⑨⑩式解得
…………………………………(1分)
磁场方向垂直导轨平面向上 ………………………………………(1分)
25.(8分)图18为示波管的示意图,竖直偏转电极的极板长l,两板间距离d,极板右端与荧光屏距离L。由阴极发出的电子经电压U0加速后,沿中心线进入偏转电压为U(U随时间变化的图象如图19所示)的竖直偏转电场。若电子由阴极逸出时的初速度、电子所受重力及电子之间的相互作用力均可忽略不计,电子经过偏转极所用的时间与周期T相比可不计。已知电子的电荷量e,质量m。
(1)推导出电子在离开竖直偏转电场时的侧移量与加速电压U0和偏转电压U的关系式;
(2)要使电子束能够打在荧光屏上,求加在竖直偏转电极上交变电压的范围;
(3)求电子打在荧光屏上距中心点O的最大距离。
25. (1)y=
(2)-
<U<
- (3)ym=![]()
26.(12分)X、Y、Z、W为原子序数依次增大的四种短周期元素,其中X元素原子的核外电子总数等于其电子层数,Z元素的气态氢化物和它的氧化物在常温下反应生成Z单质和水,X与Y、W可分别形成YX3和XW型共价化合物,YX3极易溶于水。
(1)Y的元素符号是____________。
(2)XW的电子式是____________。
(3)XW与YX3反应生成一种盐,该盐水溶液的pH________7(填“大于”、“小于”或“等于”),其原因是(用离子方程式表示)_________________________。
(4)Z元素氢化物的沸点比H2O_______(填“低”或“高”)。Z元素的氢化物有毒,写出用CuSO4溶液吸收Z元素氢化物的离子方程式_____________________。
(5)已知X单质和Y单质反应生成YX3是可逆反应,△H<0。将X、Y的两种单质以等物质的量充入一密闭容器中,在适当催化剂和恒温、恒压条件下反应。下列说法正确的是_______。
a. 达到化学平衡时,任何一种物质的正反应速率与逆反应速率相等
b. 反应过程中,Y单质的体积分数始终为50%
c. 达到化学平衡时,X、Y两种单质在混合气体中的物质的量之比为1∶1
d. 达到化学平衡的过程中气体平均相对分子质量减小
e. 达到化学平衡后,升高温度,YX3的体积分数增大
26. (1)N(1分)
(2) (1分)
![]()
(3)小于(1分);NH4++H2O
NH3.H2O+H+ (2分)
(4)低(1分);
(2分)
(5)ab(4分)
27.(11分)由新型无机非金属材料制成的无水冷发动机,热效率高、寿命长。这类材料中研究较多的是化合物G。
(1)化合物G的相对分子质量为140,G中含硅元素,其质量分数为60%,另有元素Y。G可以由化合物E(含两种元素)与NH3反应而生成,同时产生HCl气体。请推断:G和E的化学式分别为 、 。
(2)粉末状G能够与氧气反应,所得产物中有一种是空气中的主要成分,另一种是工业上生产玻璃的主要原料。请写出化合物G与氧气反应的化学方程式
。
(3)常压下在G中添加氧化铝,经高温烧结可制制成一种高强度、超硬义、耐磨损、抗腐蚀的陶瓷材料,它的商品名叫“赛伦”,化学通式可表示为Si6-XAlXOXY8-X。在接近1700℃时x的极限值约为4.0,在1400℃时x为2.0,以保持整个化合物呈电中性。推测:赛伦中以下元素的化合价:Si Y ,塞伦的晶体类型
。
27.(11分)
(1)Si3N4、SiC14;
(2)Si3N4+3O2=3SiO2+2N2;
(3)+4,-3(2分)原子晶体(方程式各3分,其它每空2分)
28.(20分)下图是某实验室测定黄铁矿中硫元素的质量分数的装置:
|
实验时有如下操作:
A.将试管中样品加热到800℃~850℃
B.称取研细的黄铁矿样品
C.连接好全部仪器,并检查其气密性
D.将样品小心放硬质试管中部
E.以均匀的速度不断鼓入空气
F.用标准碘溶液滴定含淀粉的SO2水溶液
(1)正确的实验步骤的次序是(以A、B……的序号表示) 。
(2)装置①的作用是 ;
装置②的作用是 ;
(3)I2跟SO2水溶液反应的离子方程式为 ;
(4)根据 现象判断滴定已达到终点。
(5)有同学认为用上述装置测出的黄铁矿中硫元素的质量分数会偏低,其原因可能是
(只需举出一种可能)
(6)完成下列计算
Ⅰ.若取6g样品在空气中充分灼烧,将吸收了SO2气体的淀粉溶液用0.1mol/L的标准碘溶液滴定,完全反应消耗溶液体积600mL,则样品中硫元素的质量分数为(假设杂质不参加反应) 。
Ⅱ.若灼烧6g上述FeS2产生的SO2全部转化为SO3气体,产生的SO3气体与水全部化合生成H2SO4,放出7.818kJ热量,写出SO3气体转化为H2SO4的热化学方程式
。
28.(20分)
(1)C、B、D、E、A、F(方程式各3分,其它每空2分)
(2)除去空气中还原性、酸性气体;除去水蒸气
(3)I2+SO2+2H2O 2I-+SO42-+4H+
(4)溶液恰好由无色变为蓝色,且半分钟不褪色。
(5)固体与气体反应,固体难反应完(或固体燃烧不充分);溶于水的SO2部分被氧化;生成的SO2未完全溶解而逸出等
(6)Ⅰ 32% (3分)
Ⅱ SO3(g)+H2O(1) H2SO4(1);△H=-130.3KJ/mol(4分)
29.(14分)某有机物X(分子式为C4H6O5)广泛存在于许多水果内,尤以苹果、葡萄、西瓜、山楂内为多。为确定该有机物的结构式特进行如下实验(见下表),请根据题目要求填写下列空格。
| 实验步骤 | 实验内容 |
| ① | X与足量的金属钠反应产生氢气。 |
| ② | X与醇或羧酸在浓硫酸加热条件下均能生成有水果香味的有机物。 |
| ③ | 在一定条件下X的分子内脱水产物(不是环状化合物)可与溴水发生加成反应 |
| ④ | 33.5 g X与100 mL的5 mol·L-1氢氧化钠溶液恰好完全中和。 |
(1)X的可能结构简式Ⅰ:_____________________,Ⅱ:_______________________,
Ⅲ:____________________________。
(2)写出X发生①反应的化学方程式(任写一个)______________________________。
(3)在一定条件下有机物X可发生化学反应的类型有(填序号)_____________。
A.水解反应 B.取代反应 C.加成反应
D.消去反应 E.加聚反应 F.中和反应
(4)下列物质与X互为同系物的是(填序号)________,与X互为同分异构体的是(填序号)__________。
a. HOOC—CH—CH2—CH2—CH2—COOH b. HOOC—CH—CH—CHO
c. HOOC—CH—COOCH3 d. H3COOC—COOCH3
e. H3COOC—CH—(CH2)4—COOCH3 f. H2C——CH—CH—COOH
(5)写出X与O2在铜作催化剂加热的条件下发生反应所得到的所有可能产物的结构简式为:_____________________________________。
29.(1)X的可能结构简式:
Ⅰ:HOOC—CH—CH2—COOH Ⅱ:HOOC—CH—COOH
Ⅲ:HOOC—C—COOH(各1分)
(2)2HOOC—CH—CH2—COOH+6Na
2NaOOC—CH—CH2—COONa+3H2↑
或2HOOC—CH—COOH+6Na
2NaOOC—CH—COONa+3H2↑
![]() |
或2HOOC—C—COOH+6Na
2NaOOC—C—COONa+3H2↑(任写一种可得3分)
(3)B、D、F (3分) (4)a(1分);b、c(2分)
(5)HOOC—C—CH2—COOH HOOC—CH—COOH (各1分)
30.I.(10分) 图14示哺乳动物(或人体)激素分泌的调节过程请据图回答下列问题:
(1)若图中所示腺体为睾丸,睾丸分泌的睾丸酮(雄性激素)具有增强蛋白质合成、促进肌肉发育和骨骼生长,使体内贮存的脂肪减少等作用。个别男性运动员长期用睾丸酮,则④⑤所示作用会 。可以预测,对其性腺造成的危害是 。
(2)若图中所示腺体为甲状腺,大脑感觉到寒冷刺激,则通过如图①②所示的调节过程,血液中的甲状腺激素浓度 ;通过③过程,机体的 增加,抵御了寒冷,适应了环境。甲状腺激素是含碘的氨基酸的衍生物。我国政府在碘贫乏地区强制推广加碘食盐,有效地预防了 患儿的出生。
(3)甲状腺激素和生长激素在调节动物的生长发育过程中表现为 作用。
(4)为了验证甲状腺激素具有促进新陈代谢的生理作用,请你根据给出的实验材料和用具,完善实验步骤,并预测实验结果。
①材料和用具:日龄相同体重相近的雄性成年大白鼠若干只,甲状腺激素溶液,蒸馏水,灌胃器,耗氧量测定装置等。
②方法与步骤:
A.将实验鼠随机分为数量相等的甲、乙两组,并分别用给出的仪器,测定并记录它们 。
B.每天用灌胃给予甲组鼠灌喂甲状腺激素溶液,给予乙组鼠灌喂 ,饲养一定时间.测定与记录结果
③结果预测:
A步骤的测定结果是: 。
B步骤的测定结果是: 。
30.I.(10分) (1)增强 抑制性腺的活动,严重者会导致性腺的萎缩 注:答案必须是针对性腺的影响。 (2)升高 产热 呆小症 (3)协同 (4)②耗氧量 等量的蒸馏水 ③A:甲、乙组耗氧相近 B:甲组耗氧量大于乙组
Ⅱ.(10分)民以食为天。了解食物的特性,科学配置一日三餐,对于提高生活质量,增进身体健康是非常重要的。蛋白质是人体必需的营养物质之一,人体每天必须摄入一定量的蛋白质。
(1)食物中的蛋白质在消化道内被分解成
后才能被吸收。下图所示为空腹时,丙氨酸由肌肉进入肝脏,肝脏内有葡萄糖的产生主要是因为发生了 作用。由图可知,丙氨酸是 氨基酸。
(2)丙氨酸进入肝脏,如果在肝脏内氨基转换反应速度减慢,可以通过测定血清中
(酶)的含量来判断肝细胞是否受损。
(3)牛奶中蛋白质的含量高,营养价值丰富。但空腹喝牛奶,不能充分利用其营养价值。请你利用以下提供的实验材料和用具设计一个实验,验证空腹喝牛奶时不能充分利用其营养价值。提示:实验动物——20只小白鼠 饲料——含有15N的牛奶;糖类和含有15N的牛奶 工具——同位素15N含量检测仪(在无机械损伤的情况下检测)
①实验原理:__________________________________________;
②实验步骤:
第一步:______________________________________________;
第二步:______________________________________________;
第三步:______________________________________________;
第四步:经过几小时后检测小鼠尿液中15N的含量
③实验结果预期:______________________________________;
④实验结果分析:______________________________________。
30.II.答案:(1)氨基酸; 脱氨基作用; 非必需 (2)转氨酶
(3)①实验原理:空腹喝牛奶后主要发生脱氨基作用供能,含N部分转变成尿素随尿排出。 ②实验步骤:第一步:将20只小白鼠平均分成A、B两组 第二步:将两组小白鼠饥饿处理一段时间 第三步:给A组喂含有15N的牛奶,给B组喂含有15N的牛奶加糖,其它饲喂条件相同 结果预期:尿液中15N的含量A组比B组多
结果分析:空腹喝牛奶后主要发生脱氨基作用供能,故A组比B组小鼠氨基酸分解能力强,产生的尿素多
![]() |
31.I. 下图是科学家对果蝇正常染色体上部分基因的测序结果。请据图回答:
(1)图1中的朱红眼基因与图3中的深红眼基因属于 基因。
(2)图1染色体上所呈现的基因不一定能在后代中全部表达,主要原因是
① ,
②________________________________________________________ 。
(3)图2中的I、II表示两种不同基因的结构,图1中红宝石眼基因的结构应如图2中的[ ],图2中的a能被________________________识别;若a中有一碱基对发生突变,带来的结果可能是 。
(4)与图1相比,图3发生了___________________________________________。
31.I.(每空2分,共7分) (1)非等位
(2)①当出现杂合体时,隐性基因不能表达 ②基因的表达还与环境因素有关
(3) Ⅱ RNA聚合酶 RNA聚合酶不能识别,编码区的转录不能进行
(4)染色体结构变异(染色体片段颠倒)
II.(15分)某校生物探究活动小组的同学对人群中遗传性高度近视的家庭进行调查,调查结果如下表:
| 双亲性状 | 调查的家庭数 | 子女总人数
| 子女高度近视人数 | |
| 男 | 女 | |||
| 双亲均正常 | 71 | 197 | 36 | 32 |
| 父方正常,母方高度近视 | 5 | 14 | 3 | 3 |
| 父方高度近视,母方正常 | 4 | 12 | 3 | 3 |
| 双方均高度近视 | 4 | 12 | 4 | 7 |
| 合 计 | 84 | 235 | 46 | 45 |
分析表中数据,回答下列问题:
(1)控制高度近视的基因位于______________上,遗传方式是__________性遗传。主要理由是①_________________________________。②_______________________________。该基因不在细胞质中的理由是__________________________________________。
(2)在调查中他们还发现了一个有趣的现象,一对单眼皮的夫妇生了一个双眼皮的孩子甲,而另一对双眼皮的夫妇却生了一个单眼皮的孩子乙,并且这种现象在人群中多次出现。他们百思不得其解,询问有关老师后得知,该性状由一对位于常染色体上的等位基因A(双眼皮)和a(单眼皮)控制,在男性中杂合体表现为单眼皮,在女性中杂合体表现为双眼皮。
①请写出此性状在男女两性中的各种表现型和相应的基因型:
②请判断甲、乙两人的性别和基因型:
甲为__________性,基因型为__________;乙为___________性,基因型为_________。
(3)简要说明你做出这种判断的理由:_____________________________________
__________________________________________________________________________________________________________________________________________________________




